r
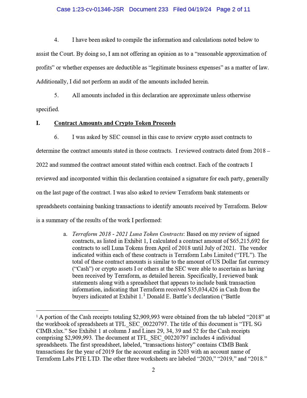
  • <p>Dokumenti američkog suda pokazuju da je Spajić kao fizičko lice bio 16. na listi ulagača u Teraform Labs, u fazi kad je ta firma prikupljala kapital za razvoj i istraživanje projekta sa kriptovalutama, koji je poslije 4 godine propao. Spajić je do sada tvrdio da je firma u kojoj je radio prevarena za 75.000 eura, a ne lično on. Spajić nije odgovorio na pitanja “Vijesti” u vezi sa tokenom Luna, niti da li je tužio Teraform i Do Kvona zato što je prevaren</p>
    FOTO: Screenshot
  • <p>Dokumenti američkog suda pokazuju da je Spajić kao fizičko lice bio 16. na listi ulagača u Teraform Labs, u fazi kad je ta firma prikupljala kapital za razvoj i istraživanje projekta sa kriptovalutama, koji je poslije 4 godine propao. Spajić je do sada tvrdio da je firma u kojoj je radio prevarena za 75.000 eura, a ne lično on. Spajić nije odgovorio na pitanja “Vijesti” u vezi sa tokenom Luna, niti da li je tužio Teraform i Do Kvona zato što je prevaren</p>
    FOTO: Screenshot
  • <p>Dokumenti američkog suda pokazuju da je Spajić kao fizičko lice bio 16. na listi ulagača u Teraform Labs, u fazi kad je ta firma prikupljala kapital za razvoj i istraživanje projekta sa kriptovalutama, koji je poslije 4 godine propao. Spajić je do sada tvrdio da je firma u kojoj je radio prevarena za 75.000 eura, a ne lično on. Spajić nije odgovorio na pitanja “Vijesti” u vezi sa tokenom Luna, niti da li je tužio Teraform i Do Kvona zato što je prevaren</p>
    FOTO: Screenshot
  • <p>Dokumenti američkog suda pokazuju da je Spajić kao fizičko lice bio 16. na listi ulagača u Teraform Labs, u fazi kad je ta firma prikupljala kapital za razvoj i istraživanje projekta sa kriptovalutama, koji je poslije 4 godine propao. Spajić je do sada tvrdio da je firma u kojoj je radio prevarena za 75.000 eura, a ne lično on. Spajić nije odgovorio na pitanja “Vijesti” u vezi sa tokenom Luna, niti da li je tužio Teraform i Do Kvona zato što je prevaren</p>
    FOTO: Screenshot
  • <p>Dokumenti američkog suda pokazuju da je Spajić kao fizičko lice bio 16. na listi ulagača u Teraform Labs, u fazi kad je ta firma prikupljala kapital za razvoj i istraživanje projekta sa kriptovalutama, koji je poslije 4 godine propao. Spajić je do sada tvrdio da je firma u kojoj je radio prevarena za 75.000 eura, a ne lično on. Spajić nije odgovorio na pitanja “Vijesti” u vezi sa tokenom Luna, niti da li je tužio Teraform i Do Kvona zato što je prevaren</p>
    FOTO: Screenshot
  • <p>Dokumenti američkog suda pokazuju da je Spajić kao fizičko lice bio 16. na listi ulagača u Teraform Labs, u fazi kad je ta firma prikupljala kapital za razvoj i istraživanje projekta sa kriptovalutama, koji je poslije 4 godine propao. Spajić je do sada tvrdio da je firma u kojoj je radio prevarena za 75.000 eura, a ne lično on. Spajić nije odgovorio na pitanja “Vijesti” u vezi sa tokenom Luna, niti da li je tužio Teraform i Do Kvona zato što je prevaren</p>
    FOTO: Screenshot
  • <p>Dokumenti američkog suda pokazuju da je Spajić kao fizičko lice bio 16. na listi ulagača u Teraform Labs, u fazi kad je ta firma prikupljala kapital za razvoj i istraživanje projekta sa kriptovalutama, koji je poslije 4 godine propao. Spajić je do sada tvrdio da je firma u kojoj je radio prevarena za 75.000 eura, a ne lično on. Spajić nije odgovorio na pitanja “Vijesti” u vezi sa tokenom Luna, niti da li je tužio Teraform i Do Kvona zato što je prevaren</p>
    FOTO: Screenshot
  • <p>Dokumenti američkog suda pokazuju da je Spajić kao fizičko lice bio 16. na listi ulagača u Teraform Labs, u fazi kad je ta firma prikupljala kapital za razvoj i istraživanje projekta sa kriptovalutama, koji je poslije 4 godine propao. Spajić je do sada tvrdio da je firma u kojoj je radio prevarena za 75.000 eura, a ne lično on. Spajić nije odgovorio na pitanja “Vijesti” u vezi sa tokenom Luna, niti da li je tužio Teraform i Do Kvona zato što je prevaren</p>
    FOTO: Screenshot
  • <p>Dokumenti američkog suda pokazuju da je Spajić kao fizičko lice bio 16. na listi ulagača u Teraform Labs, u fazi kad je ta firma prikupljala kapital za razvoj i istraživanje projekta sa kriptovalutama, koji je poslije 4 godine propao. Spajić je do sada tvrdio da je firma u kojoj je radio prevarena za 75.000 eura, a ne lično on. Spajić nije odgovorio na pitanja “Vijesti” u vezi sa tokenom Luna, niti da li je tužio Teraform i Do Kvona zato što je prevaren</p>
    FOTO: Screenshot
  • <p>Dokumenti američkog suda pokazuju da je Spajić kao fizičko lice bio 16. na listi ulagača u Teraform Labs, u fazi kad je ta firma prikupljala kapital za razvoj i istraživanje projekta sa kriptovalutama, koji je poslije 4 godine propao. Spajić je do sada tvrdio da je firma u kojoj je radio prevarena za 75.000 eura, a ne lično on. Spajić nije odgovorio na pitanja “Vijesti” u vezi sa tokenom Luna, niti da li je tužio Teraform i Do Kvona zato što je prevaren</p>
    FOTO: Screenshot
  • <p>Dokumenti američkog suda pokazuju da je Spajić kao fizičko lice bio 16. na listi ulagača u Teraform Labs, u fazi kad je ta firma prikupljala kapital za razvoj i istraživanje projekta sa kriptovalutama, koji je poslije 4 godine propao. Spajić je do sada tvrdio da je firma u kojoj je radio prevarena za 75.000 eura, a ne lično on. Spajić nije odgovorio na pitanja “Vijesti” u vezi sa tokenom Luna, niti da li je tužio Teraform i Do Kvona zato što je prevaren</p>
    FOTO: Screenshot

Spajić bio među prvim ulagačima, izgubio 90 miliona dolara?

175879 pregleda 189 komentar(a)