Ekonomski rast je jedan od ključnih ekonomskih indikatora, a u najopštijem slučaju se može definisati kao povećanje proizvodnje u određenom vremenskom periodu. Stopa ekonomskog rasta predstavlja relativnu promjenu i zbog svoje važnosti često je predmet poređenja između zemalja, ali kako bi se ono izvršilo na objektivan način potrebno je veoma pažljivo sagledati sve specifičnosti. Naime, u savremenoj ekonomiji su već uspostavljeni određeni standardi i prakse koje se koriste prilikom komparacija:
- odbačeni su pristupi u poređenju nominalnog ekonomskog rasta već se uvijek govori o realnoj stopi rasta;
- obično se govori o bruto domaćem proizvodu po stanovniku, kao mjeri koja omogućava adekvatno poređenje usljed razlika u veličini ekonomija;
- sve je češća upotreba BDP-a koji se izračunava u skladu sa paritetom kupovne moći, usljed značajnih razlika koje postoje u nivoima cijena.
Imajući u vidu prethodno navedeno, uočava se tendencija kontinuiranog unapređenja indikatora koji se koriste, a sve sa ciljem što objektivnijeg sagledavanja različitih ekonomskih stvarnosti. Međutim, nedovoljan je broj ekonomskih indikatora koji na adekvatan način uzimaju u obzir različit nivo razvijenosti zemalja, iako je određeni napredak u ovoj oblasti postignut kroz prilagođavanje prilikom izračunavanja SDG Indeksa.
Novi pristup: Prilagođena stopa ekonomskog rasta nivou razvijenosti
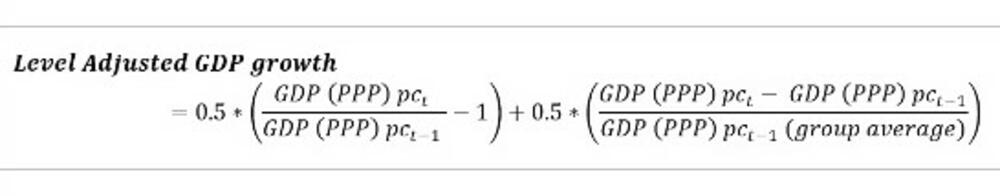
Predlaže se uvođenje Prilagođene stope ekonomskog rasta nivou razvijenosti (Level Adjusted GDP growth) kao indikatora koji će biti dobra osnova za poređenje stopa ekonomskog rasta u zemljama koje se nalaze na različitom nivou razvijenosti.

- GDP (PPP) pct – BDP po stanovniku u skladu sa paritetom kupovne moći u periodu t u konstantnim cijenama
- GDP (PPP) pct-1 – BDP po stanovniku u skladu sa paritetom kupovne moći u periodu t-1 u konstantnim cijenama
- GDP (PPP) pc(t-1) (group average) – Prosječna vrijednost BDP-a za grupu analiziranih zemalja u periodu t-1 u konstantnim cijenama
Prednosti Prilagođene stope ekonomskog rasta nivou razvijenosti u odnosu na sve ostale mjere ekonomskog rasta se mogu podijeliti u dvije grupe, i to:
1. grupa: Prednosti koje proizilaze iz upotrebe BDP-a po stanovniku prema paritetu kupovne moći u konstantnim cijenama što omogućava da se na adekvatan način isključi uticaj inflacije, uzima u obzir postojanje različitog nivoa cijena i analiziraju relativne promjene BDP-a po stanovniku;
2. grupa: Prednosti koje proizilaze iz načina izračunavanja stope gdje polovinu prilagođene stope rasta čini relativni rast ekonomske aktivnosti te zemlje, a drugu polovinu čini rast ekonomske aktivnosti u zemlji u odnosu na prosjek grupe zemalja koje se porede. Na ovaj način se stopa prilagođava različitom početnom nivou razvijenosti zemlje, pa je stoga objektivniji pokazatelj i može se koristiti prilikom poređenja stopa rasta između zemalja sa različitim početnim nivoima ekonomskog razvoja.
U narednoj tabeli je dat prikaz prognoziranih stopa ekonomskog rasta (GDP g) za 2024. godinu na primjeru 30 evropskih zemalja, a prema podacima MMF-a, kao i izračunata prilagođena stopa rasta (LA GDP g) na prethodno objašnjeni način. Poredeći apsolutne stope privrednog rasta Srbija, Albanija i Bugarska bi bile najbrže rastuće ekonomije, dok ukoliko se izvrši prilagođavanje za ostvareni nivo razvijenosti najbrže rastuće ekonomije bi bile Malta, Hrvatska i Kipar. Šire posmatrano, uvidom u prilagođene stope rasta, jasno je da kod zemalja u razvoju dolazi do smanjenja vrijednosti, dok kod razvijenijih ekonomija dolazi do povećanja. Ovaj pristup stvara jasniji i pravičniji rang zemalja prema stepenu ekonomskog napretka.
Zašto je ova mjera važna?
Ovaj novi pristup poređenju stopa ekonomskog rasta omogućava da se na pravi način sagleda stvarni ekonomski napredak zemalja, značajno smanjujući mogućnosti da visoki rast zemalja u razvoju bude pogrešno interpretiran kao višestruko brži napredak od razvijenih ekonomija ili posljedica superiornijeg ekonomskog modela. Takođe, prilagođena stopa ekonomskog rasta pruža bolju osnovu za kreiranje ekonomskih politika, jer uzima u obzir specifične ekonomske uslove, početni nivo razvijenosti i karakteristiku da privredni rast nije uvijek linearan proces.
Prilagođena stopa ekonomskog rasta nivou razvijenosti, nova mjera koja je ovdje predstavljena, jeste samo jedan od mogućih pristupa komparativnoj analizi pa može biti predmet izmjena i prilagođavanja u narednom periodu u skladu sa odlukom autora.
Autor je saradnik u nastavi na Ekonomskom fakultetu Univerziteta Crne Gore
Bonus video: